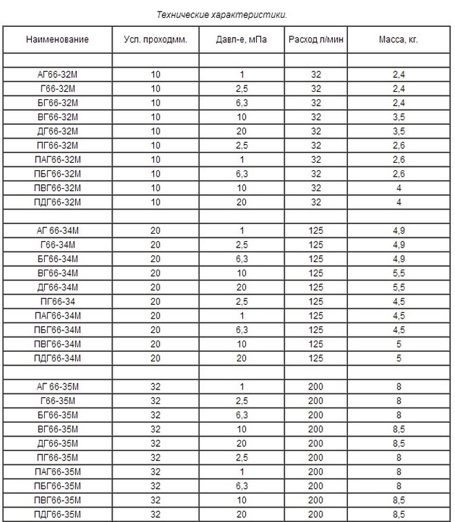
Гидроклапан давления с обратным клапаном ПВГ66-34М: технические данные
|
Наименование |
Усл. проходмм. |
Давл-е, мПа |
Расход л/мин |
Масса, кг. |
|
|
|
|
|
|
|
АГ66-32М |
10 |
1 |
32 |
2,4 |
|
Г66-32М |
10 |
2,5 |
32 |
2,4 |
|
БГ66-32М |
10 |
6,3 |
32 |
2,4 |
|
ВГ66-32М |
10 |
10 |
32 |
3,5 |
|
ДГ66-32М |
10 |
20 |
32 |
3,5 |
|
ПГ66-32М |
10 |
2,5 |
32 |
2,6 |
|
ПАГ66-32М |
10 |
1 |
32 |
2,6 |
|
ПБГ66-32М |
10 |
6,3 |
32 |
2,6 |
|
ПВГ66-32М |
10 |
10 |
32 |
4 |
|
ПДГ66-32М |
10 |
20 |
32 |
4 |
|
|
|
|
|
|
|
АГ 66-34М |
20 |
1 |
125 |
4,9 |
|
Г66-34М |
20 |
2,5 |
125 |
4,9 |
|
БГ66-34М |
20 |
6,3 |
125 |
4,9 |
|
ВГ66-34М |
20 |
10 |
125 |
5,5 |
|
ДГ66-34М |
20 |
20 |
125 |
5,5 |
|
ПГ66-34 |
20 |
2,5 |
125 |
4,5 |
|
ПАГ66-34М |
20 |
1 |
125 |
4,5 |
|
ПБГ66-34М |
20 |
6,3 |
125 |
4,5 |
|
ПВГ66-34М |
20 |
10 |
125 |
5 |
|
ПДГ66-34М |
20 |
20 |
125 |
5 |
|
|
|
|
|
|
|
АГ 66-35М |
32 |
1 |
200 |
8 |
|
Г66-35М |
32 |
2,5 |
200 |
8 |
|
БГ66-35М |
32 |
6,3 |
200 |
8 |
|
ВГ66-35М |
32 |
10 |
200 |
8,5 |
|
ДГ66-35М |
32 |
20 |
200 |
8,5 |
|
ПГ66-35М |
32 |
2,5 |
200 |
8 |
|
ПАГ66-35М |
32 |
1 |
200 |
8 |
|
ПБГ66-35М |
32 |
6,3 |
200 |
8 |
|
ПВГ66-35М |
32 |
10 |
200 |
8,5 |
|
ПДГ66-35М |
32 |
20 |
200 |
8,5 |







